티스토리 뷰
서울 강남만큼 좋다는 용산에서 아파트 분양 소식이 있습니다. 게다가 분양가 상한제가 적용받아 분양가가 얼마나 좋을지 매우 큰 관심을 받고 있습니다. 용산 호반써밋 에이디션 아파트 분양가와 청약 정보에 대해 총정리한 내용 잘 살펴보시고 내 집 마련과 투자에 도움이 받으시길 바랍니다.
용산 호반써밋 에이디션 분양가
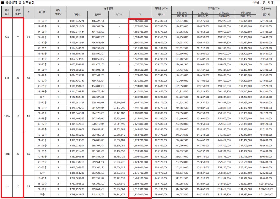
용산 호반써밋 에이디션은 분양가상한제가 적용돼 주변 아파트 대비 낮은 가격에 책정된 것이 매우 큰 장점입니다. 용산 호반써밋 에이디션 전용면적 105㎡B 분양 최고가는 20억 7070만 원입니다.
국토교통부 실거래가에서 찾아보면 근처 아파트인 용산 센트럴파크의 지난 5월 전용면적 102㎡ 거래가는 30억 원이었습니다. 호반써밋 에이디션의 전용면적이 약 3㎡ 더 넓은데 분양가가 실거래가보다 9억원 이상 낮은 것을 알 수 있습니다.
전용면적 105㎡ 최저 분양가로 계산한다면 시세차익 10억 원 정도의 수익을 얻을 수 있게 되는 셈이지요.
| 구분 | 분양가 최저액 | 분양가 최고액 |
| 84A,B | 15억4790만원 | 16억3390만원 |
| 105A,B | 19억6170만원 | 20억7070만원 |
| 122 | 24억9210만원 | 25억2990만원 |

전용면적 84㎡의 분양가는 최저 15억 4790만 원부터 최고 16억 3390만 원까지 있으며 전용면적 105㎡은 최저 19억 6170만 원부터 최고 20억 7070만 원까지이고, 전용면적 122㎡은 24억 9210만 원~25억 2990만 원까지 있습니다.
계약금은 10%이며 계약일은 8월 14일부터 16일까지입니다.


용산 호반써밋 에이디션 청약 정보
한강과 용산공원 사이에 위치한 용산 호반써밋 에이디션이 분양을 앞두고 있습니다. 용산의 중심에 위치하여 교통도 생활도 힐링도 원스톱으로 누릴 수 있다는 용산 호반써밋 에이디션은 아파트와 오피스텔, 오피스까지 세 가지 종류가 있습니다.
📌 모델하우스 방문하기 힘들다면 영상으로 보고 확인하세요.
용산 호반써밋 에이디션은 아파트, 오피스텔, 오피스 3가지를 분양하지만 우리가 눈여겨보는 것은 아파트입니다.
| 사업명 | 국제빌딩 주변 제5구역 도시정비형 재개발 사업 |
| 대지위치 | 서울특별시 용산구 한강로2가 210-1번지 일대 |
| 대지면적 | 3,610.20㎡ |
| 연면적 | 53,676.47㎡ |
| 건축면적 | 1,562.45㎡ |
| 용적률 | 891.12% |
| 건폐율 | 43.28% |
| 세대수 | 아파트 110세대 중 일반분양 90세대 오피스텔 77실 중 일반분양 49실 오피스 51실 중 일반분양 22실 |
📌 공급규모: 아파트 지하 8층, 지상 39층 1개 동 총 110세대 중 일반분양 90세대 (특별공급 25세대, 일반공급 65세대)
📌 전용면적별 가구수
아파트는 84㎡A 20 가구, 84㎡B 20 가구, 105㎡A 18 가구, 105㎡B 22 가구, 122㎡ 10 가구가 공급됩니다.
오피스텔은 34㎡A 7실, 34㎡B 7실, 42㎡A 4실, 42㎡B 7실, 42㎡C 6실, 43㎡ 1실, 63㎡ 7실, 65㎡ 4실, 66㎡ 6실이 공급됩니다.

- 84A형에서 특별공급은 9가구, 일반공급은 11가구
- 84B형 특별공급 9가구, 일반공급 11가구
- 105A형 특별공급 3가구, 일반공급 15가구
- 105B형 특별공급 4가구, 일반공급 18가구
- 122형 일반공급10가구
아파트는 중도금 50%에 대한 이자 후불제가 적용됩니다. 이자 후불제는 중도금 빌릴 경우 발생하는 이자에 대한 납입 시기를 유예해 주는 제도입니다. 오피스텔은 중도금 전액 무이자 혜택을 제공합니다.
📌 투기 과열지구 적용 지역
용산은 투기과열지구 및 청약과열지구 지역이기 때문에 무주택 세대가 1순위 가점체 청약이 가능하며 1 주택 소유자는 1순위 청약은 가능하지만 가점제 청약 대상은 아닙니다.

그리고 전매제한기간, 거주의무기간 및 재당첨 제한 기간이 보다 길게 적용되니 아래를 꼭 확인해 주세요.
- 전매제한 3년
- 거주의무 3년
- 재당첨제한 10년
투기과열지구라서 실거주의무 기간이 3년이고 전매제한도 3년입니다. 당첨 후에 재당첨 제한이 되는 기간도 10년입니다.
용산 호반써밋 에이디션 아파트 청약 일정
청약 신청은 인터넷 청약이 기본이며 한국부동산원 청약홈에서 청약 신청할 수 있습니다.
📌 청약일 전에 청약홈에 접속해서 청약자격 확인하시고 청약 제한 사항 미리 확인하셔서 당첨 무효 되는 일 없도록 하시기 바랍니다.
📌용산 호반써밋 에이디션 아파트는 입주자 모집공고를 2023년 7월 14일에 했으며 이 날짜가 청약자격조건의 기간, 나이, 지역우선 등의 청약자격 조건 판단기준일입니다.
📌 특별공급은 7월 24일 월요일에 청약 신청을 시작하고 일반공급 1순위는 7월 25일 청약 신청을 받습니다. 일반공급 1순위는 서울특별시 2년 이상 거주자 대상이며 2년 미만이거나 수도권 거주자는 7월 26일에 청약 신청을 해야 합니다.
| 특별공급 | 7월 24일 (월) |
| 일반공급 1순위(해당) | 7월 25일 (화) |
| 일반공급 1순위(기타) | 7월 26일 (수) |
| 오피스텔 청약 | 7월 26일 (수) |
| 아파트 당첨자발표 | 8월 2일 |
| 오피스텔 당첨자발표 | 8월 1일 |


📌 청약 방법
청약 신청은 ‘청약 Home 홈페이지(www.applyhome.co.kr)’를 통한 인터넷 청약접수를 원칙으로 합니다. 고령자 및 장애인 등의 정보취약계층에 한하여 인터넷 청약이 불가한 경우에만 방문 접수가 가능한데요. 특별공급의 경우 사업주체 견본주택에서 접수가 가능하고 일반공급의 경우에는 청약통장 가입은행에 방문해서 청약가능합니다.
📌 인터넷 청약 신청 순서

청약통장 가입은행 공동인증서 발급➡공동인증서 로그인➡청약신청 메뉴 (특별공급 또는 1순위)➡청약 신청하기 후 주택선택➡청약신청 유형선택 및 유의사항 확인➡주택형 선택 및 행정정보 자동조회➡특별공급, 일반공급➡청약신청 및 내역확인➡청약완료
청약 자격 정보
1순위 자격 확인하셨나요? 만19세 이사 세대주, 청약 예치금 충족, 재당첨기간 조건, 서울 거주 2년이상, 무주택 세대 등 모두 충족된다면 1순위 입니다.

특별공급 공통사항, 청약 신청자격에서 필요한 부분, 청약예금 예치금 등은 아래에서 확인하시기 바랍니다.





단지 및 평형 정보
용산 호반써밋 에이디션은 최고 높이 39층으로 랜드마크 익스테리어와 고품격 인테리어를 적용하여 지어집니다.




공개공지 및 연결 녹지 등 자연과 어우러져 휴식을 취할 수 있는 쾌적한 녹지공간도 조성됩니다.
원스톱 상업 시설을 조성하였습니다. 단지 저층부에 다양한 판매시설이 조성되어 편리하게 이용할 수 있습니다.


📌 평형정보
아파트는 일반 분양으로 84㎡A 20 가구, 84㎡B 20가구, 105㎡A 18 가구, 105㎡B 22 가구, 122㎡ 10 가구가 공급됩니다.
다양한 평면으로 구성하였고 공간활용도를 높인 혁신적으로 설계하여 라이프 스타일에 따른 공간 연출이 가능합니다.
유상옵션으로 마감재, 조명 업그레이드, 현관중문, 현관 신발장, 수입주방가구, 드레스룸, 복도팬트리, 붙박이장, 다용도실 수납장 등이 있습니다. 아래 이미지에서 세부적인 부분 확인 가능합니다.





📌 커뮤니티 시설
조금 더 높은 곳에서 즐기는 커뮤니티의 여유, 호반써밋에서 고품격 문화여가 생활을 누리십시오.
커뮤니티 시설이 17층에 위치해 있어서 조금 더 높은 곳에서 커뮤니티의 여유를 즐길 수 있다고 한 것 같습니다.

실내골프연습장에서 날씨나 계절에 영향을 받지 않고 골프연습을 할 수 있습니다.
공유스튜디오가 있어서 재택근무 및 홈오피스 등의 용도로 이용할 수 있습니다. 피트니스와 라커룸 및 샤워실도 갖추고 있습니다.
스카이라운지에서는 용산 시내와 야경을 한눈에 감상할 수 있는 전용 라운지를 마련했습니다.
입지환경 장점
✔ 교통의 중심
신용산역 4호선과 1호선과 KTX 그리고 경의 중앙선이 연결되는 용산역, GTX-B(예정)까지 완벽한 역세권
✔ 비전의 중심
용산국제업무지구와 용산철도병원, 그리고 GTX-B 개발로 미래 비전이 높습니다.
✔ 생활의 중심
아이파크몰, 이마트, CGV용산, 용산역사박물관 등 다양한 생활 인프라가 가까이 있으며 도보 통학 가능한 한강초교와 이촌동 학원가와 인접하여 교육 여건도 굿!
✔ 힐링의 중심
서빙고 근린공원, 용산파크웨이(예정), 용산가족공원 등 녹지가 풍부하고 이촌한강공원, 거북선나루터, 노들섬 등 한강 주변 여가시설 이용도 편리합니다.


용산 호반써밋 에이디션 강점
입지 환경에서의 장점을 말하자면, 용산 그리고 한강! 이 두 가지만 말해도 입지가 어떤 지는 말을 안 해도 충분한 설명이 될 것 같습니다.
용산 호반써밋 에이디션은 한강대로와 강변북로가 인접해 있어서 서울 시내 각지를 이동하는 것이 매우 편리합니다.
가장 가까운 전철역과 버스 정류장도 단지에서 400미터 안에 위치해서 걸어서 5분 이내에 갈 수 있습니다. 용산역도 500미터 거리에 있고 도보로 10분 안에 갈 수 있는 거리입니다.
분양가상한제가 적용으로 주변 아파트에 비해 분양가도 낮은 가격에 책정되었습니다.
인근 아파트인 용산 센트럴파크의 지난 5월 전용면적 102㎡의 실거래가는 30억 원으로 조회됩니다. 그에 비해 용산 호반써밋 에이디션 전용면적 105㎡B 분양 최고가는 20억 7070만 원입니다. 용산 호반써밋 에이디션이 시세보다 9억 원 이상 저렴하게 분양가가 책정된 것입니다.
개발 호재도 기대할 수 있습니다. 단지 인근에 용산 정비창전면 1 구역 재개발, 용산철도 병원부지 개발 사업, 용산공원 정비구역 사업, 용산국제 업무지구 조성 사업이 이뤄질 예정이고 용산역에 GTX-B 노선이 오는 2030년에 개통될 예정인 점 등, 향후 개발로 인한 호재가 많아서 집값이 더 오를 수 있는 가능성이 많습니다.
단지가 들어서는 위치는 용산 시내이기 때문에 기존의 인프라를 입주와 동시에 이용할 수 있습니다. 아이파크몰과 이마트와 같은 쇼핑몰 등은 걸어서 10분 내에 도착할 수 있는 거리에 있고 주변 편의시설도 도보로 5분 내에 이용 가능합니다.


가장 가까운 초등학교가 도보 5분 거리에 있는데 6차선 도로를 건너야 하는 불편함이 있습니다. 초등학교와 특성화고를 제외한 학교는 1km 이상 떨어져 있다는 점도 약점으로 보입니다.
그리고 단지가 1개 동으로 되다 보니 커뮤니티 시설이 상대적으로 작을 수 있다는 점도 약점으로 꼽힙니다.
도로와 인접해 있다는 점은 교통에 있어선 편리하지만 자동차 소음과 매연 문제를 겪을 수 있는 약점이기도 합니다.
하지만 이러한 약간의 약점보다도 강점이 많아서 근처 부동산 업계에서는 청약 경쟁률이 세 자릿수를 넘어가며 흥행할 것이라고 전망하고 있습니다. 입지의 장점이 많은 데다가 분양가 상한제 적용으로 가격 경쟁력까지 갖췄기 때문일 것입니다.
미래 가치도 높고 입지 약점도 없고 분양가도 시세보다 저렴해서 실제 청약에서 경쟁률이 100:1 이상으로 나올 것으로 보고 있으며 1순위에서 마감될 것이라고 예측하고 있습니다.
용산 호반 써밋 에이디션은 아파트 청약일 다음날인 7월 26일에 오피스텔 분양 신청을 받습니다. 오피스텔은 아파트와 중복 청약이 가능하다고 합니다.

✔ 입주자 공고문 다운로드
<투기과열지구 제한 사항>
본 아파트는 「주택공급에 관한 규칙」에 따라 무주택 세대 또는 1 주택을 소유한 세대에 속한 분만 1순위 청약신청이 가능합니다
본 아파트는 분양가상한제 적용 민영주택으로 당첨자로 선정 시 「주택공급에 관한 규칙」제54조에 따른 재당첨 제한을 적용받게 되며 기존 주택 당첨으로 인해 재당첨 제한 기간 내에 있는 자 및 그 세대에 속한 자는 본 아파트 청약이 불가합니다. 재당첨 제한 10년
본 아파트의 당첨자로 선정 시 당첨자 및 세대에 속한 자는 당첨일로부터 향후 5년간 투기과열지구 및 청약과열지역에서 공급하는 주택의 1순위 청약접수가 제한되오니 유의하시기 바랍니다.
■ 본 아파트는 최초 입주자모집공고일(2023.07.14.) 현재 서울특별시에 거주하거나 수도권(경기도 및 인천광역시)에 거주(주민등록표등본 기준)하는 만 19세 이상인 자 또는 세대주인 미성년자(자녀양육, 형제자매부양)[국내에서 거주하는 재외동포(재외국민, 외국국적 동포) 및 외국인 포함]의 경우 청약이 가능합니다.
다만 청약 신청자 중 같은 순위 내에 경쟁이 있을 경우 해당 주택건설지역인 서울특별시 2년 이상 거주자가 (2021.07.14. 이전부터 계속 거주) 우선합니다.
- 서울특별시 용산구는 투기과열지구로서 입주자모집공고일 기준 최근 2년간 계속하여 거주해야 1순위(해당 주택건설지역 거주자) 중 우선공급 대상 요건을 충족하게 되며, 국내에 거주하지 않고 해외에 장기간체류하고 있는 상태에서 해당 주택건설지역 1 순위자로 청약 당첨되는 것은 부정 당첨자에 해당되오니 청약 시 유의하시기 바랍니다.
용산 호반써밋 에이디션은 올해 규제지역으로는 처음으로 분양을 하는 아파트입니다. 15억원은 큰 돈이지만, 분양가 상한제 적용으로 주변 아파트 시세에 비해 낮게 책정된 분양가가 큰 매력일 것 같습니다. 위의 정보가 도움이 되기를 바랍니다.
